

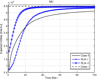
This paper investigates energy efficiency for two-tier femtocell networks through combining game theory and stochastic learning. With the Stackelberg game formulation, a hierarchical reinforcement learning framework is applied to study the joint average utility maximization of macrocells and femtocells subject to the minimum signal-to-interference-plus-noise-ratio requirements. The macrocells behave as the leaders and the femtocells are followers during the learning procedure. At each time step, the leaders commit to dynamic strategies based on the best responses of the followers, while the followers compete against each other with no further information but the leaders' strategy information. In this paper, we propose two learning algorithms to schedule each cell's stochastic power levels, leading by the macrocells. Numerical experiments are presented to validate the proposed studies and show that the two learning algorithms substantially improve the energy efficiency of the femtocell networks.