



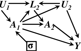
We consider conditions that allow us to find an optimal strategy for sequential decisions from a given data situation. For the case where all interventions are unconditional (atomic), identifiability has been discussed by Pearl & Robins (1995). We argue here that an optimal strategy must be conditional, i.e. take the information available at each decision point into account. We show that the identification of an optimal sequential decision strategy is more restrictive, in the sense that conditional interventions might not always be identified when atomic interventions are. We further demonstrate that a simple graphical criterion for the identifiability of an optimal strategy can be given.