



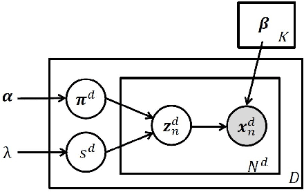
The application of Partial Membership Latent Dirichlet Allocation(PM-LDA) for hyperspectral endmember estimation and spectral unmixing is presented. PM-LDA provides a model for a hyperspectral image analysis that accounts for spectral variability and incorporates spatial information through the use of superpixel-based 'documents.' In our application of PM-LDA, we employ the Normal Compositional Model in which endmembers are represented as Normal distributions to account for spectral variability and proportion vectors are modeled as random variables governed by a Dirichlet distribution. The use of the Dirichlet distribution enforces positivity and sum-to-one constraints on the proportion values. Algorithm results on real hyperspectral data indicate that PM-LDA produces endmember distributions that represent the ground truth classes and their associated variability.