



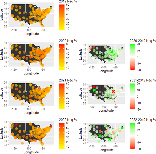
As impact of COVID-19 pandemic winds down, both individuals and society gradually return to pre-pandemic activities. This study aims to explore how people's emotions have changed from the pre-pandemic during the pandemic to post-emergency period and whether it has returned to pre-pandemic level. We collected Reddit data in 2019 (pre-pandemic), 2020 (peak pandemic), 2021, and 2022 (late stages of pandemic, transitioning period to post-emergency period) from subreddits in 128 universities/colleges in the U.S., and a set of school-level characteristics. We predicted two sets of sentiments from a pre-trained Robustly Optimized BERT pre-training approach (RoBERTa) and graph attention network (GAT) that leverages both rich semantic and relational information among posted messages and then applied a logistic stacking method to obtain the final sentiment classification. After obtaining sentiment label for each message, we used a generalized linear mixed-effects model to estimate temporal trend in sentiment from 2019 to 2022 and how school-level factors may affect sentiment. Compared to the year 2019, the odds of negative sentiment in years 2020, 2021, and 2022 are 24%, 4.3%, and 10.3% higher, respectively, which are all statistically significant(adjusted $p$<0.05). Our study findings suggest a partial recovery in the sentiment composition in the post-pandemic-emergency era. The results align with common expectations and provide a detailed quantification of how sentiments have evolved from 2019 to 2022.