



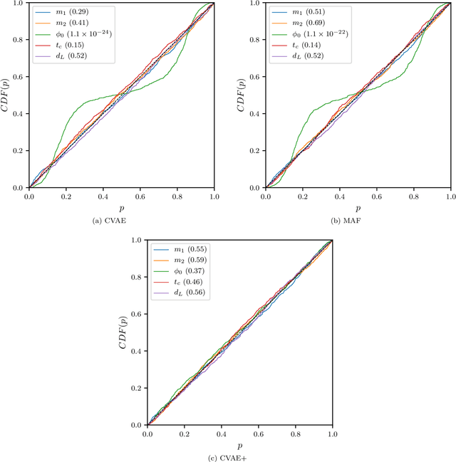
We introduce the use of autoregressive normalizing flows for rapid likelihood-free inference of binary black hole system parameters from gravitational-wave data with deep neural networks. A normalizing flow is an invertible mapping on a sample space that can be used to induce a transformation from a simple probability distribution to a more complex one: if the simple distribution can be rapidly sampled and its density evaluated, then so can the complex distribution. Our first application to gravitational waves uses an autoregressive flow, conditioned on detector strain data, to map a multivariate standard normal distribution into the posterior distribution over system parameters. We train the model on artificial strain data consisting of IMRPhenomPv2 waveforms drawn from a five-parameter $(m_1, m_2, \phi_0, t_c, d_L)$ prior and stationary Gaussian noise realizations with a fixed power spectral density. This gives performance comparable to current best deep-learning approaches to gravitational-wave parameter estimation. We then build a more powerful latent variable model by incorporating autoregressive flows within the variational autoencoder framework. This model has performance comparable to Markov chain Monte Carlo and, in particular, successfully models the multimodal $\phi_0$ posterior. Finally, we train the autoregressive latent variable model on an expanded parameter space, including also aligned spins $(\chi_{1z}, \chi_{2z})$ and binary inclination $\theta_{JN}$, and show that all parameters and degeneracies are well-recovered. In all cases, sampling is extremely fast, requiring less than two seconds to draw $10^4$ posterior samples.