



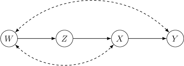
We aim to generalize the results of a randomized controlled trial (RCT) to a target population with the help of some observational data. This is a problem of causal effect identification with multiple data sources. Challenges arise when the RCT is conducted in a context that differs from the target population. Earlier research has focused on cases where the estimates from the RCT can be adjusted by observational data in order to remove the selection bias and other domain specific differences. We consider examples where the experimental findings cannot be generalized by an adjustment and show that the generalization may still be possible by other identification strategies that can be derived by applying do-calculus. The obtained identifying functionals for these examples contain trapdoor variables of a new type. The value of a trapdoor variable needs to be fixed in the estimation and the choice of the value may have a major effect on the bias and accuracy of estimates, which is also seen in simulations. The presented results expand the scope of settings where the generalization of experimental findings is doable