

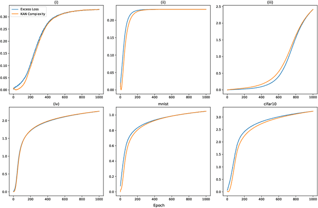
Kolmogorov-Arnold Network (KAN) is a network structure recently proposed by Liu et al. (2024) that offers improved interpretability and a more parsimonious design in many science-oriented tasks compared to multi-layer perceptrons. This work provides a rigorous theoretical analysis of KAN by establishing generalization bounds for KAN equipped with activation functions that are either represented by linear combinations of basis functions or lying in a low-rank Reproducing Kernel Hilbert Space (RKHS). In the first case, the generalization bound accommodates various choices of basis functions in forming the activation functions in each layer of KAN and is adapted to different operator norms at each layer. For a particular choice of operator norms, the bound scales with the $l_1$ norm of the coefficient matrices and the Lipschitz constants for the activation functions, and it has no dependence on combinatorial parameters (e.g., number of nodes) outside of logarithmic factors. Moreover, our result does not require the boundedness assumption on the loss function and, hence, is applicable to a general class of regression-type loss functions. In the low-rank case, the generalization bound scales polynomially with the underlying ranks as well as the Lipschitz constants of the activation functions in each layer. These bounds are empirically investigated for KANs trained with stochastic gradient descent on simulated and real data sets. The numerical results demonstrate the practical relevance of these bounds.