



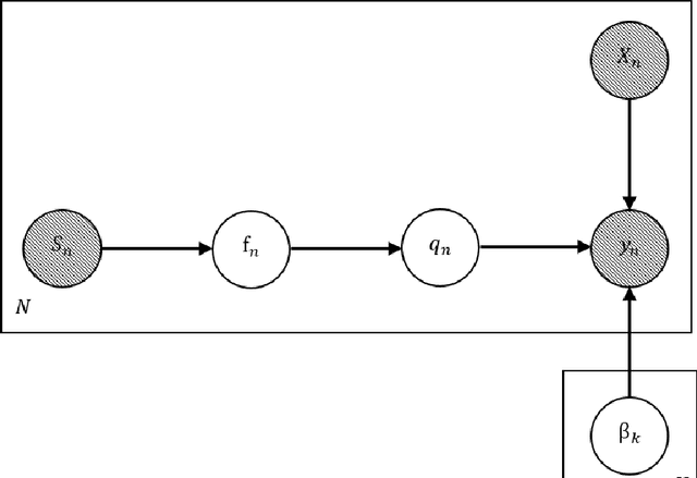
We present a Gaussian Process - Latent Class Choice Model (GP-LCCM) to integrate a non-parametric class of probabilistic machine learning within discrete choice models (DCMs). Gaussian Processes (GPs) are kernel-based algorithms that incorporate expert knowledge by assuming priors over latent functions rather than priors over parameters, which makes them more flexible in addressing nonlinear problems. By integrating a Gaussian Process within a LCCM structure, we aim at improving discrete representations of unobserved heterogeneity. The proposed model would assign individuals probabilistically to behaviorally homogeneous clusters (latent classes) using GPs and simultaneously estimate class-specific choice models by relying on random utility models. Furthermore, we derive and implement an Expectation-Maximization (EM) algorithm to jointly estimate/infer the hyperparameters of the GP kernel function and the class-specific choice parameters by relying on a Laplace approximation and gradient-based numerical optimization methods, respectively. The model is tested on two different mode choice applications and compared against different LCCM benchmarks. Results show that GP-LCCM allows for a more complex and flexible representation of heterogeneity and improves both in-sample fit and out-of-sample predictive power. Moreover, behavioral and economic interpretability is maintained at the class-specific choice model level while local interpretation of the latent classes can still be achieved, although the non-parametric characteristic of GPs lessens the transparency of the model.