



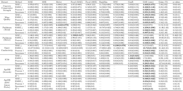
Regression is a fundamental task in machine learning that has garnered extensive attention over the past decades. The conventional approach for regression involves employing loss functions that primarily concentrate on aligning model prediction with the ground truth for each individual data sample, which, as we show, can result in sub-optimal prediction of the relationships between the different samples. Recent research endeavors have introduced novel perspectives by incorporating label similarity information to regression. However, a notable gap persists in these approaches when it comes to fully capturing the intricacies of the underlying ground truth function. In this work, we propose FAR (Function Aligned Regression) as a arguably better and more efficient solution to fit the underlying function of ground truth by capturing functional derivatives. We demonstrate the effectiveness of the proposed method practically on 2 synthetic datasets and on 8 extensive real-world tasks from 6 benchmark datasets with other 8 competitive baselines. The code is open-sourced at \url{https://github.com/DixianZhu/FAR}.