



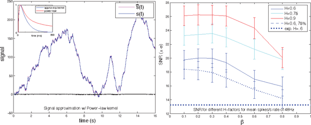
Recent experimental work has suggested that the neural firing rate can be interpreted as a fractional derivative, at least when signal variation induces neural adaptation. Here, we show that the actual neural spike-train itself can be considered as the fractional derivative, provided that the neural signal is approximated by a sum of power-law kernels. A simple standard thresholding spiking neuron suffices to carry out such an approximation, given a suitable refractory response. Empirically, we find that the online approximation of signals with a sum of power-law kernels is beneficial for encoding signals with slowly varying components, like long-memory self-similar signals. For such signals, the online power-law kernel approximation typically required less than half the number of spikes for similar SNR as compared to sums of similar but exponentially decaying kernels. As power-law kernels can be accurately approximated using sums or cascades of weighted exponentials, we demonstrate that the corresponding decoding of spike-trains by a receiving neuron allows for natural and transparent temporal signal filtering by tuning the weights of the decoding kernel.