



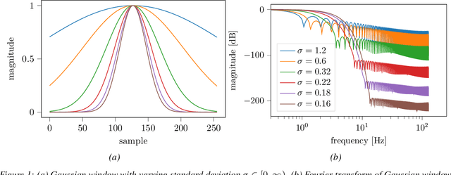
Fourier methods have a long and proven track record in as an excellent tool in data processing. We propose to integrate Fourier methods into complex recurrent neural network architectures and show accuracy improvements on analysis and prediction tasks as well as computational load reductions. We predict synthetic data drawn from the synthetic-Lorenz equations as well as real world human motion prediction. We demonstrate the setup's analysis capabilities on the task of music recognition.