


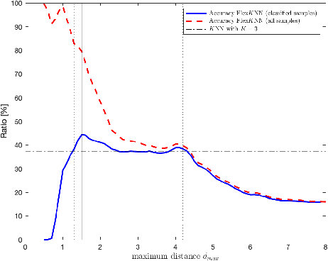
The K Nearest Neighbors (KNN) classifier is widely used in many fields such as fingerprint-based localization or medicine. It determines the class membership of unlabelled sample based on the class memberships of the K labelled samples, the so-called nearest neighbors, that are closest to the unlabelled sample. The choice of K has been the topic of various studies and proposed KNN-variants. Yet no variant has been proven to outperform all other variants. In this paper a new KNN-variant is proposed which ensures that the K nearest neighbors are indeed close to the unlabelled sample and finds K along the way. The proposed algorithm is tested and compared to the standard KNN in theoretical scenarios and for indoor localization based on ion-mobility spectrometry fingerprints. It achieves a higher classification accuracy than the KNN in the tests, while requiring having the same computational demand.