



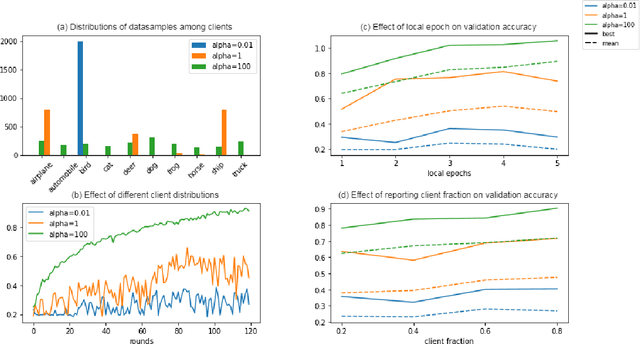
Federated Learning is a recent approach to train statistical models on distributed datasets without violating privacy constraints. The data locality principle is preserved by sharing the model instead of the data between clients and the server. This brings many advantages but also poses new challenges. In this report, we explore this new research area and perform several experiments to deepen our understanding of what these challenges are and how different problem settings affect the performance of the final model. Finally, we present a novel approach to one of these challenges and compare it to other methods found in literature.