



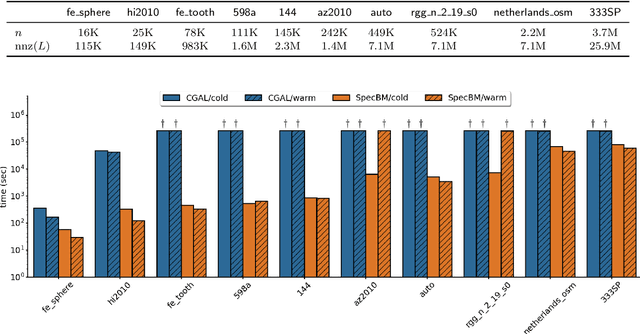
While semidefinite programming (SDP) has traditionally been limited to moderate-sized problems, recent algorithms augmented with matrix sketching techniques have enabled solving larger SDPs. However, these methods achieve scalability at the cost of an increase in the number of necessary iterations, resulting in slower convergence as the problem size grows. Furthermore, they require iteration-dependent parameter schedules that prohibit effective utilization of warm-start initializations important in practical applications with incrementally-arriving data or mixed-integer programming. We present SpecBM, a provably correct, fast and scalable algorithm for solving massive SDPs that can leverage a warm-start initialization to further accelerate convergence. Our proposed algorithm is a spectral bundle method for solving general SDPs containing both equality and inequality constraints. Moveover, when augmented with an optional matrix sketching technique, our algorithm achieves the dramatically improved scalability of previous work while sustaining convergence speed. We empirically demonstrate the effectiveness of our method, both with and without warm-starting, across multiple applications with large instances. For example, on a problem with 600 million decision variables, SpecBM achieved a solution of standard accuracy in less than 7 minutes, where the previous state-of-the-art scalable SDP solver requires more than 16 hours. Our method solves an SDP with more than 10^13 decision variables on a single machine with 16 cores and no more than 128GB RAM; the previous state-of-the-art method had not achieved an accurate solution after 72 hours on the same instance. We make our implementation in pure JAX publicly available.