



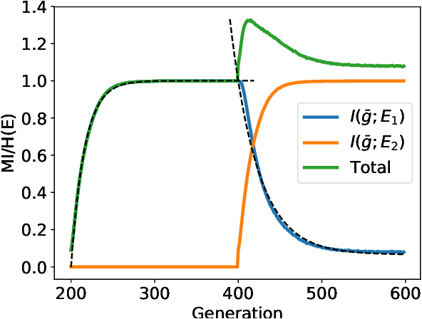
In this paper, we wish to investigate the dynamics of information transfer in evolutionary dynamics. We use information theoretic tools to track how much information an evolving population has obtained and managed to retain about different environments that it is exposed to. By understanding the dynamics of information gain and loss in a static environment, we predict how that same evolutionary system would behave when the environment is fluctuating. Specifically, we anticipate a cross-over between the regime in which fluctuations improve the ability of the evolutionary system to capture environmental information and the regime in which the fluctuations inhibit it, governed by a cross-over in the timescales of information gain and decay.