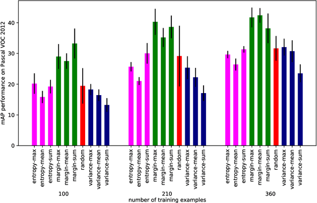
Object detection requires substantial labeling effort for learning robust models. Active learning can reduce this effort by intelligently selecting relevant examples to be annotated. However, selecting these examples properly without introducing a sampling bias with a negative impact on the generalization performance is not straightforward and most active learning techniques can not hold their promises on real-world benchmarks. In our evaluation paper, we focus on active learning techniques without a computational overhead besides inference, something we refer to as zero-cost active learning. In particular, we show that a key ingredient is not only the score on a bounding box level but also the technique used for aggregating the scores for ranking images. We outline our experimental setup and also discuss practical considerations when using active learning for object detection.