



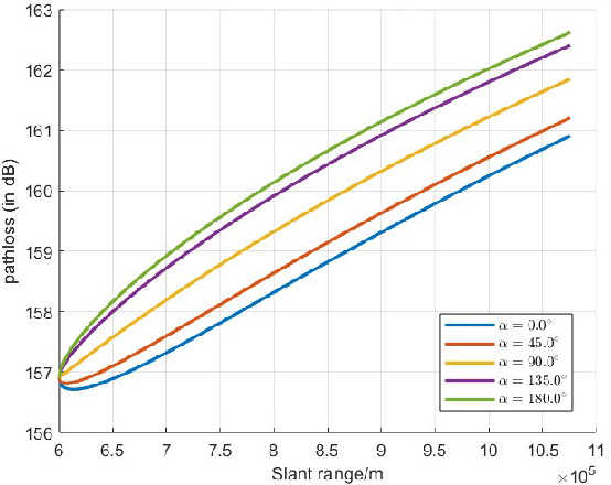
The co-existence of terrestrial and non-terrestrial networks (NTNs) is essential for achieving global coverage in sixth-generation cellular networks. Due to increasing spectrum demand, there is discussion in the world level to share some frequencies used in terrestrial Networks (TNs) with NTNs, resulting in co-channel interference and performance degradation. This paper analyzes the interference caused by satellite networks on TN in the S-band. We examined the transmission mechanisms of satellite signals and conducted simulations to evaluate interference intensity across varying slant ranges. Our findings indicate that the angle between the user equipment direction and the sub-satellite point direction from the beam center significantly impacts the interference level.