



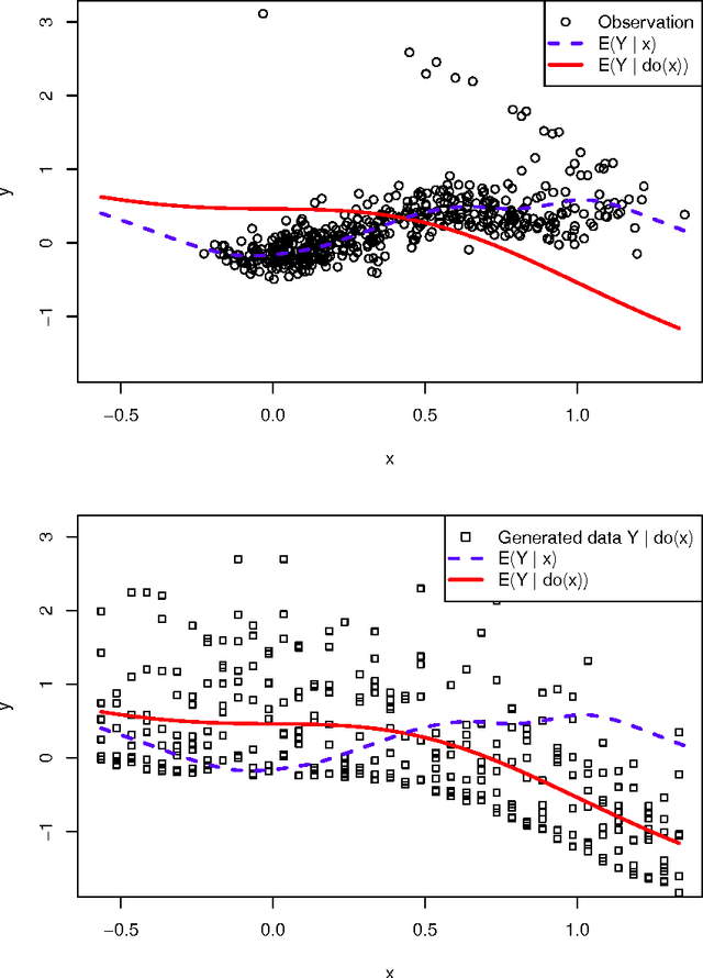
Despite the major advances taken in causal modeling, causality is still an unfamiliar topic for many statisticians. In this paper, it is demonstrated from the beginning to the end how causal effects can be estimated from observational data assuming that the causal structure is known. To make the problem more challenging, the causal effects are highly nonlinear and the data are missing at random. The tools used in the estimation include causal models with design, causal calculus, multiple imputation and generalized additive models. The main message is that a trained statistician can estimate causal effects by judiciously combining existing tools.