



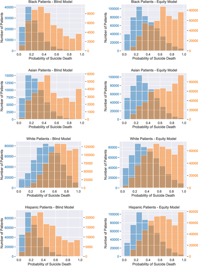
When faced with severely imbalanced binary classification problems, we often train models on bootstrapped data in which the number of instances of each class occur in a more favorable ratio, e.g., one. We view algorithmic inequity through the lens of imbalanced classification: in order to balance the performance of a classifier across groups, we can bootstrap to achieve training sets that are balanced with respect to both labels and group identity. For an example problem with severe class imbalance---prediction of suicide death from administrative patient records---we illustrate how an equity-directed bootstrap can bring test set sensitivities and specificities much closer to satisfying the equal odds criterion. In the context of na\"ive Bayes and logistic regression, we analyze the equity-directed bootstrap, demonstrating that it works by bringing odds ratios close to one, and linking it to methods involving intercept adjustment, thresholding, and weighting.