



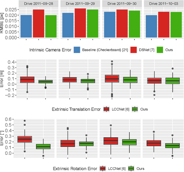
Autonomous vehicles are equipped with a multi-modal sensor setup to enable the car to drive safely. The initial calibration of such perception sensors is a highly matured topic and is routinely done in an automated factory environment. However, an intriguing question arises on how to maintain the calibration quality throughout the vehicle's operating duration. Another challenge is to calibrate multiple sensors jointly to ensure no propagation of systemic errors. In this paper, we propose CaLiCa, an end-to-end deep self-calibration network which addresses the automatic calibration problem for pinhole camera and Lidar. We jointly predict the camera intrinsic parameters (focal length and distortion) as well as Lidar-Camera extrinsic parameters (rotation and translation), by regressing feature correlation between the camera image and the Lidar point cloud. The network is arranged in a Siamese-twin structure to constrain the network features learning to a mutually shared feature in both point cloud and camera (Lidar-camera constraint). Evaluation using KITTI datasets shows that we achieve 0.154 {\deg} and 0.059 m accuracy with a reprojection error of 0.028 pixel with a single-pass inference. We also provide an ablative study of how our end-to-end learning architecture offers lower terminal loss (21% decrease in rotation loss) compared to isolated calibration