



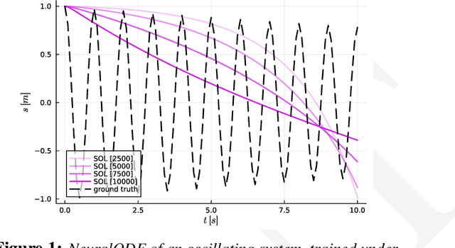
Using vanilla NeuralODEs to model large and/or complex systems often fails due two reasons: Stability and convergence. NeuralODEs are capable of describing stable as well as instable dynamic systems. Selecting an appropriate numerical solver is not trivial, because NeuralODE properties change during training. If the NeuralODE becomes more stiff, a suboptimal solver may need to perform very small solver steps, which significantly slows down the training process. If the NeuralODE becomes to instable, the numerical solver might not be able to solve it at all, which causes the training process to terminate. Often, this is tackled by choosing a computational expensive solver that is robust to instable and stiff ODEs, but at the cost of a significantly decreased training performance. Our method on the other hand, allows to enforce ODE properties that fit a specific solver or application-related boundary conditions. Concerning the convergence behavior, NeuralODEs often tend to run into local minima, especially if the system to be learned is highly dynamic and/or oscillating over multiple periods. Because of the vanishing gradient at a local minimum, the NeuralODE is often not capable of leaving it and converge to the right solution. We present a technique to add knowledge of ODE properties based on eigenvalues - like (partly) stability, oscillation capability, frequency, damping and/or stiffness - to the training objective of a NeuralODE. We exemplify our method at a linear as well as a nonlinear system model and show, that the presented training process is far more robust against local minima, instabilities and sparse data samples and improves training convergence and performance.