



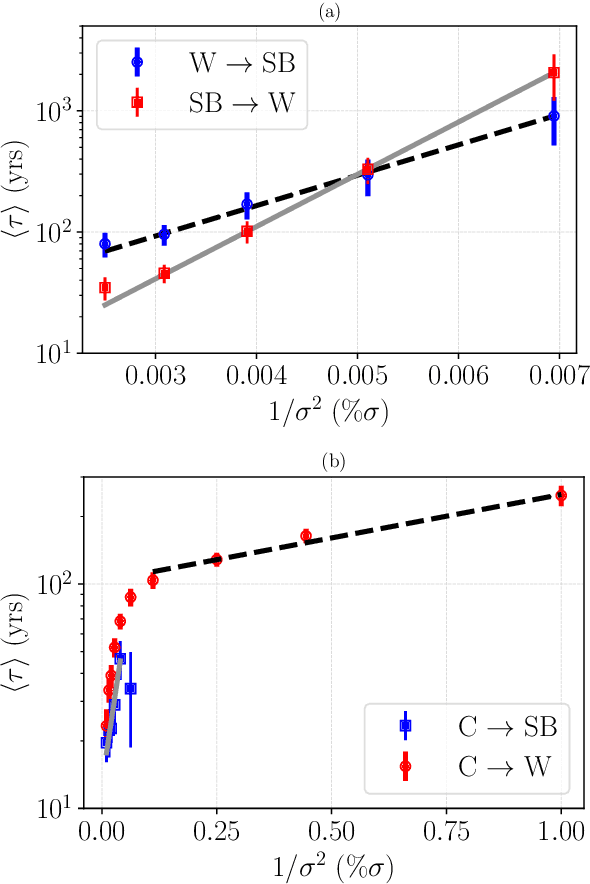
We apply two independent data analysis methodologies to locate stable climate states in an intermediate complexity climate model. First, drawing from the theory of quasipotentials, and viewing the state space as an energy landscape with valleys and mountain ridges, we infer the relative likelihood of the identified multistable climate states, and investigate the most likely transition trajectories as well as the expected transition times between them. Second, harnessing techniques from data science, specifically manifold learning, we characterize the data landscape of the simulation data to find climate states and basin boundaries within a fully agnostic and unsupervised framework. Both approaches show remarkable agreement, and reveal, apart from the well known warm and snowball earth states, a third intermediate stable state in one of the two climate models we consider. The combination of our approaches allows to identify how the negative feedback of ocean heat transport and entropy production via the hydrological cycle drastically change the topography of the dynamical landscape of Earth's climate.