



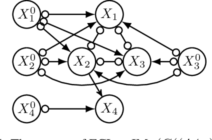
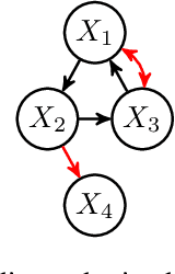
We study a specific type of SCM, called a Dynamic Structural Causal Model (DSCM), whose endogenous variables represent functions of time, which is possibly cyclic and allows for latent confounding. As a motivating use-case, we show that certain systems of Stochastic Differential Equations (SDEs) can be appropriately represented with DSCMs. An immediate consequence of this construction is a graphical Markov property for systems of SDEs. We define a time-splitting operation, allowing us to analyse the concept of local independence (a notion of continuous-time Granger (non-)causality). We also define a subsampling operation, which returns a discrete-time DSCM, and which can be used for mathematical analysis of subsampled time-series. We give suggestions how DSCMs can be used for identification of the causal effect of time-dependent interventions, and how existing constraint-based causal discovery algorithms can be applied to time-series data.