

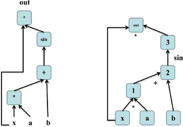
Deep Learning has made a great progress for these years. However, it is still difficult to master the implement of various models because different researchers may release their code based on different frameworks or interfaces. In this paper, we proposed a computation graph based framework which only aims to introduce well-known interfaces. It will help a lot when reproducing a newly model or transplanting models that were implemented by other frameworks. Additionally, we implement numerous recent models covering both Computer Vision and Nature Language Processing. We demonstrate that our framework will not suffer from model-starving because it is much easier to make full use of the works that are already done.