


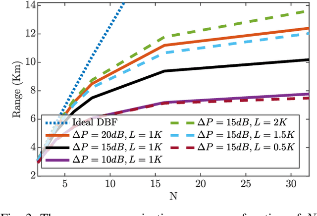
Distributed transmit beamforming is a technique that adjusts the signals from cooperating radios to combine coherently at a destination radio. To achieve coherent combining, the radios can exchange preambles with the destination for frequency synchronization and signal phase adjustment. At the destination, coherent combining leads to a beamforming (BF) gain. The BF gain can extend the communication range by countering the path loss that increases with the distance from the destination. While ideally the maximum range can be trivially calculated from the BF gain, in reality, the BF gain depends on the distance because, at a larger distance, lower SNR of the exchanged preambles causes higher synchronization and phase estimation errors, which in turn degrades the BF gain. In this paper, considering the BF gain degradation for a destination-led BF protocol, we calculate the maximum communication range to realize a desired post-BF SNR by analyzing the relation between the pre-BF SNR and the BF gain. We show that increasing the preamble lengths or increasing the destination power can significantly increase the maximum range while just increasing the number of radios gives diminishing range extension.