



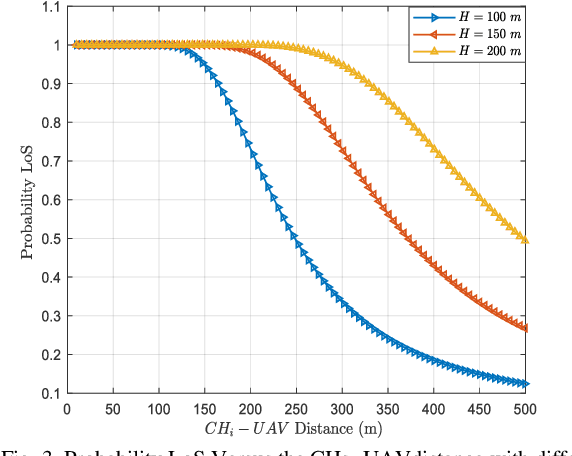
An Unmanned Aerial Vehicle (UAV) is a promising technology for providing wireless coverage to ground user devices. For all the infrastructure communication networks destroyed in disasters, UAVs battery life is challenging during service delivery in a post-disaster scenario. Therefore, selecting cluster heads among user devices plays a vital role in detecting UAV signals and processing data for improving UAV energy efficacy and reliable Connectivity. This paper focuses on the performance evaluation of the clustering approach performance in detecting wireless coverage services with improving energy efficiency. The evaluation performance is a realistic simulation for the ground to air channel Line of Sight (LoS). The results show that the cluster head can effectively link the UAVs and cluster members at minimal energy expenditure. The UAVs altitudes and path loss exponent affected user devices for detecting wireless coverage. Moreover, the bit error rate in the cluster heads is considered for reliable Connectivity in post disaster. Clustering stabilizes the clusters linking the uncovered nodes to the UAV, and its effectiveness in doing so resulted in its ubiquity in emergency communication systems.