



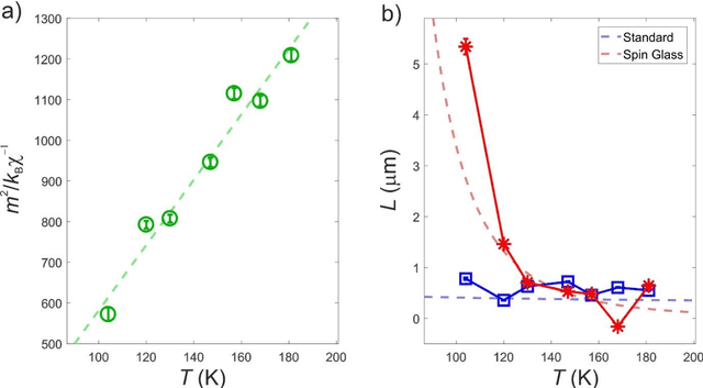
Spin glasses, generally defined as disordered systems with randomized competing interactions, are a widely investigated complex system. Theoretical models describing spin glasses are broadly used in other complex systems, such as those describing brain function, error-correcting codes, or stock-market dynamics. This wide interest in spin glasses provides strong motivation to generate an artificial spin glass within the framework of artificial spin ice systems. Here, we present the experimental realization of an artificial spin glass consisting of dipolar coupled single-domain Ising-type nanomagnets arranged onto an interaction network that replicates the aspects of a Hopfield neural network. Using cryogenic x-ray photoemission electron microscopy (XPEEM), we performed temperature-dependent imaging of thermally driven moment fluctuations within these networks and observed characteristic features of a two-dimensional Ising spin glass. Specifically, the temperature dependence of the spin glass correlation function follows a power law trend predicted from theoretical models on two-dimensional spin glasses. Furthermore, we observe clear signatures of the hard to observe rugged spin glass free energy in the form of sub-aging, out of equilibrium autocorrelations and a transition from stable to unstable dynamics.