



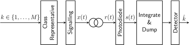
A new direct-detection-compatible signalling scheme is proposed for fiber-optic communication over short distances. Controlled inter-symbol interference is exploited to extract phase information, thereby achieving data rates within one bit per channel-use of those of a coherent detector.