



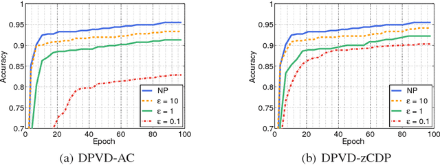
Deep neural networks with their large number of parameters are highly flexible learning systems. The high flexibility in such networks brings with some serious problems such as overfitting, and regularization is used to address this problem. A currently popular and effective regularization technique for controlling the overfitting is dropout. Often, large data collections required for neural networks contain sensitive information such as the medical histories of patients, and the privacy of the training data should be protected. In this paper, we modify the recently proposed variational dropout technique which provided an elegant Bayesian interpretation to dropout, and show that the intrinsic noise in the variational dropout can be exploited to obtain a degree of differential privacy. The iterative nature of training neural networks presents a challenge for privacy-preserving estimation since multiple iterations increase the amount of noise added. We overcome this by using a relaxed notion of differential privacy, called concentrated differential privacy, which provides tighter estimates on the overall privacy loss. We demonstrate the accuracy of our privacy-preserving variational dropout algorithm on benchmark datasets.