



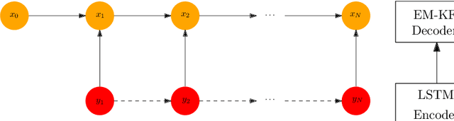
Probabilistic theory and differential equation are powerful tools for the interpretability and guidance of the design of machine learning models, especially for illuminating the mathematical motivation of learning latent variable from observation. State estimation and subspace learning are two classical problems in latent variable learning. State estimation solves optimal value for latent variable (i.e. state) from noised observation. Subspace learning maps high-dimensional features on low-dimensional subspace to capture efficient representation. Graphs are widely applied for modeling latent variable learning problems, and graph neural networks implement deep learning architectures on graphs. Inspired by probabilistic theory and differential equations, this paper proposes graph neural networks to solve state estimation and subspace learning problems. This paper conducts theoretical studies, and adopts empirical studies on several tasks, including text classification, protein classification, stock prediction and state estimation for robotics. Experiments illustrate that the proposed graph neural networks are superior to the current methods. Source code of this paper is available at https://github.com/zshicode/Latent-variable-GNN.