



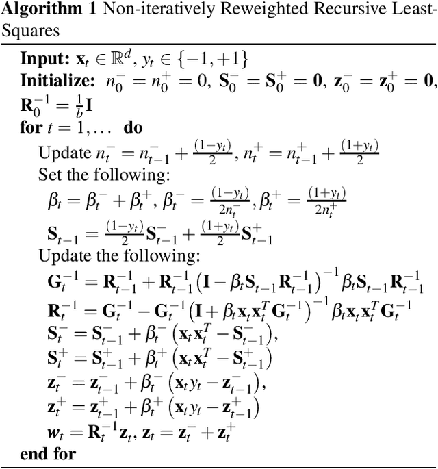
Deterministic solutions are becoming more critical for interpretability. Weighted Least-Squares (WLS) has been widely used as a deterministic batch solution with a specific weight design. In the online settings of WLS, exact reweighting is necessary to converge to its batch settings. In order to comply with its necessity, the iteratively reweighted least-squares algorithm is mainly utilized with a linearly growing time complexity which is not attractive for online learning. Due to the high and growing computational costs, an efficient online formulation of reweighted least-squares is desired. We introduce a new deterministic online classification algorithm of WLS with a constant time complexity for binary class rebalancing. We demonstrate that our proposed online formulation exactly converges to its batch formulation and outperforms existing state-of-the-art stochastic online binary classification algorithms in real-world data sets empirically.