



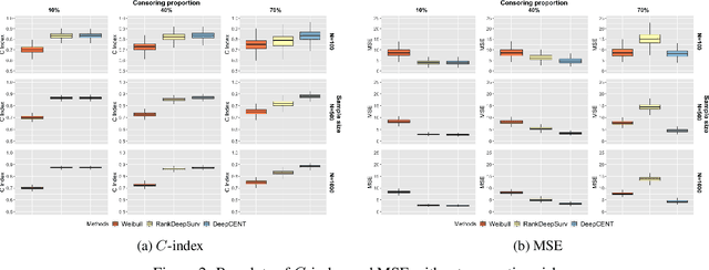
With the rapid advances of deep learning, many computational methods have been developed to analyze nonlinear and complex right censored data via deep learning approaches. However, the majority of the methods focus on predicting survival function or hazard function rather than predicting a single valued time to an event. In this paper, we propose a novel method, DeepCENT, to directly predict the individual time to an event. It utilizes the deep learning framework with an innovative loss function that combines the mean square error and the concordance index. Most importantly, DeepCENT can handle competing risks, where one type of event precludes the other types of events from being observed. The validity and advantage of DeepCENT were evaluated using simulation studies and illustrated with three publicly available cancer data sets.