



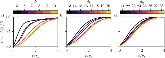
Dissipative partial differential equations that exhibit chaotic dynamics tend to evolve to attractors that exist on finite-dimensional manifolds. We present a data-driven reduced order modeling method that capitalizes on this fact by finding the coordinates of this manifold and finding an ordinary differential equation (ODE) describing the dynamics in this coordinate system. The manifold coordinates are discovered using an undercomplete autoencoder -- a neural network (NN) that reduces then expands dimension. Then the ODE, in these coordinates, is approximated by a NN using the neural ODE framework. Both of these methods only require snapshots of data to learn a model, and the data can be widely and/or unevenly spaced. We apply this framework to the Kuramoto-Sivashinsky for different domain sizes that exhibit chaotic dynamics. With this system, we find that dimension reduction improves performance relative to predictions in the ambient space, where artifacts arise. Then, with the low-dimensional model, we vary the training data spacing and find excellent short- and long-time statistical recreation of the true dynamics for widely spaced data (spacing of ~0.7 Lyapunov times). We end by comparing performance with various degrees of dimension reduction, and find a "sweet spot" in terms of performance vs. dimension.