



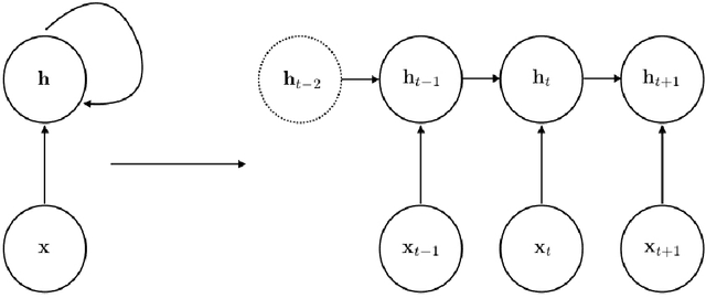
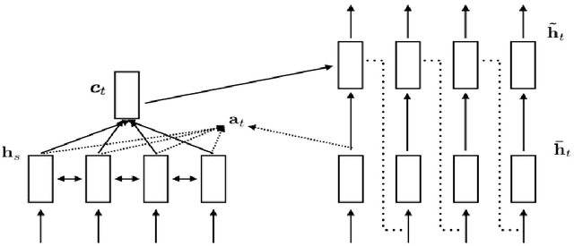
This thesis introduces the sequence to sequence model with Luong's attention mechanism for end-to-end ASR. It also describes various neural network algorithms including Batch normalization, Dropout and Residual network which constitute the convolutional attention-based seq2seq neural network. Finally the proposed model proved its effectiveness for speech recognition achieving 15.8% phoneme error rate on TIMIT dataset.