



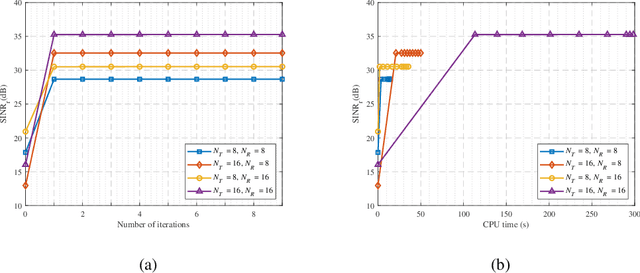
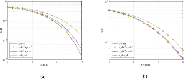
We investigate the constant-modulus (CM) waveform design for dual-function radar communication systems in the presence of clutter.To minimize the interference power and enhance the target acquisition performance, we use the signal-to-interference-plus-noise-ratio as the design metric.In addition, to ensure the quality of the service for each communication user, we enforce a constraint on the synthesis error of every communication signals.An iterative algorithm, which is based on cyclic optimization, Dinkinbach's transform, and alternating direction of method of multipliers, is proposed to tackle the encountered non-convex optimization problem.Simulations illustrate that the CM waveforms synthesized by the proposed algorithm allow to suppress the clutter efficiently and control the synthesis error of communication signals to a low level.