



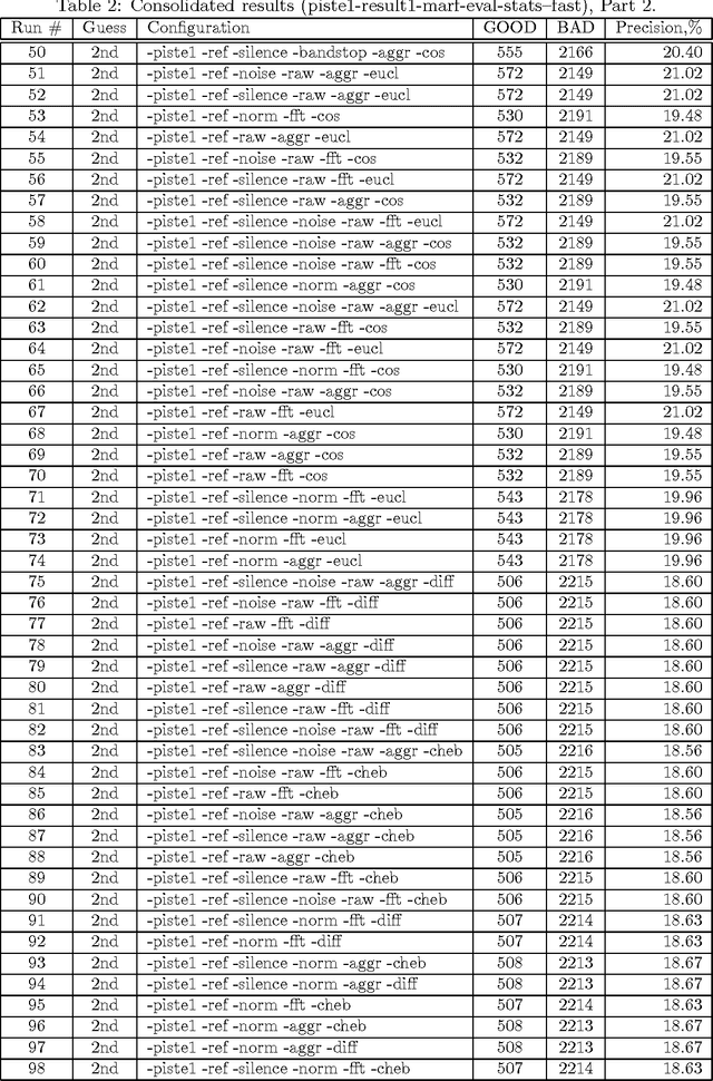
This companion paper complements the main DEFT'10 article describing the MARF approach (arXiv:0905.1235) to the DEFT'10 NLP challenge (described at http://www.groupes.polymtl.ca/taln2010/deft.php in French). This paper is aimed to present the complete result sets of all the conducted experiments and their settings in the resulting tables highlighting the approach and the best results, but also showing the worse and the worst and their subsequent analysis. This particular work focuses on application of the MARF's classical and NLP pipelines to identification tasks within various francophone corpora to identify decades when certain articles were published for the first track (Piste 1) and place of origin of a publication (Piste 2), such as the journal and location (France vs. Quebec). This is the sixth iteration of the release of the results.