



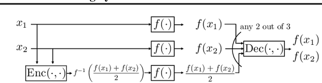
Inspired by a new coded computation algorithm for invertible functions, we propose Coded-InvNet a new approach to design resilient prediction serving systems that can gracefully handle stragglers or node failures. Coded-InvNet leverages recent findings in the deep learning literature such as invertible neural networks, Manifold Mixup, and domain translation algorithms, identifying interesting research directions that span across machine learning and systems. Our experimental results show that Coded-InvNet can outperform existing approaches, especially when the compute resource overhead is as low as 10%. For instance, without knowing which of the ten workers is going to fail, our algorithm can design a backup task so that it can correctly recover the missing prediction result with an accuracy of 85.9%, significantly outperforming the previous SOTA by 32.5%.