


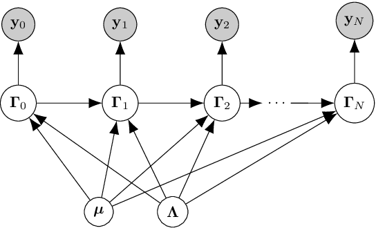
We propose a message passing algorithm for tracking of clutter signals in MIMO radar. The method exploits basis expansion to linearise the signal model, to enable mean field approach for tracking the posterior distribution of the clutter as it evolves across time, as well as the mean and precision of the clutter map. The method shows good estimation accuracy in simulations for a scenario that adhere to the statistical model used for derivation as well as one that does not. The complexity of the method is linear in both the amount of parameters chosen and the amount of data under consideration.