



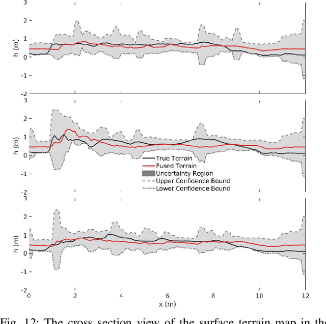
This paper presents a novel approach to underwater terrain mapping for Autonomous Underwater Vehicles (AUVs) operating in close proximity to complex 3D environments. The approach leverages a coarse learning-based scene range estimator from monocular images, which can filter transient objects such as fish and lighting aberrations. The proposed methodology then creates a probabilistic elevation map of the terrain using a learning-based scene range estimator as a sensor. The approach considers uncertainty in estimated scene range and robot pose as the AUV moves through the environment. The resulting elevation map can be used for reactive path planning and obstacle avoidance to allow robotic systems to follow the underwater terrain as closely as possible. The performance of our approach is evaluated in simulation by comparing the reconstructed terrain to ground truth reference maps in an photo-realistic underwater environment. The method is also demonstrated using field data collected within a coral reef environment by an AUV.