


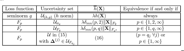
The notion of developing statistical methods in machine learning which are robust to adversarial perturbations in the underlying data has been the subject of increasing interest in recent years. A common feature of this work is that the adversarial robustification often corresponds exactly to regularization methods which appear as a loss function plus a penalty. In this paper we deepen and extend the understanding of the connection between robustification and regularization (as achieved by penalization) in regression problems. Specifically, (a) in the context of linear regression, we characterize precisely under which conditions on the model of uncertainty used and on the loss function penalties robustification and regularization are equivalent, and (b) we extend the characterization of robustification and regularization to matrix regression problems (matrix completion and Principal Component Analysis).