



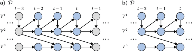
Generalizing directed maximal ancestral graphs, we introduce a class of graphical models for representing time lag specific causal relationships and independencies among finitely many regularly sampled and regularly subsampled time steps of multivariate time series with unobserved variables. We completely characterize these graphs and show that they entail constraints beyond those that have previously been considered in the literature. This allows for stronger causal inferences without having imposed additional assumptions. In generalization of directed partial ancestral graphs we further introduce a graphical representation of Markov equivalence classes of the novel type of graphs and show that these are more informative than what current state-of-the-art causal discovery algorithms learn. We also analyze the additional information gained by increasing the number of observed time steps.