
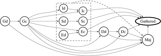
We present a unified formal framework for expressing mobile robots models, protocols, and proofs, and devise a protocol design/proof methodology dedicated to mobile robots that takes advantage of this formal framework. As a case study, we present the first formally certified protocol for oblivious mobile robots evolving in a two-dimensional Euclidean space. In more details, we provide a new algorithm for the problem of universal gathering mobile oblivious robots (that is, starting from any initial configuration that is not bivalent, using any number of robots, the robots reach in a finite number of steps the same position, not known beforehand) without relying on a common orientation nor chirality. We give very strong guaranties on the correctness of our algorithm by proving formally that it is correct, using the COQ proof assistant. This result demonstrates both the effectiveness of the approach to obtain new algorithms that use as few assumptions as necessary, and its manageability since the amount of developed code remains human readable.