



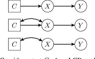
We study the performance of Local Causal Discovery (LCD), a simple and efficient constraint-based method for causal discovery, in predicting causal effects in large-scale gene expression data. We construct practical estimators specific to the high-dimensional regime. Inspired by the ICP algorithm, we use an optional preselection method and two different statistical tests. Empirically, the resulting LCD estimator is seen to closely approach the accuracy of ICP, the state-of-the-art method, while it is algorithmically simpler and computationally more efficient.