



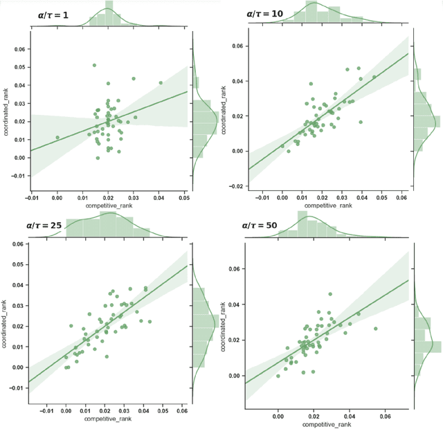
A purely inter-model version of a machine intelligence benchmark would allow us to measure intelligence directly as information without projecting that information onto labeled datasets. We propose a framework in which other learners measure the informational significance of their peers across a network and use a digital ledger to negotiate the scores. However, the main benefits of measuring intelligence with other learners are lost if the underlying scores are dishonest. As a solution, we show how competition for connectivity in the network can be used to force honest bidding. We first prove that selecting inter-model scores using gradient descent is a regret-free strategy: one which generates the best subjective outcome regardless of the behavior of others. We then empirically show that when nodes apply this strategy, the network converges to a ranking that correlates with the one found in a fully coordinated and centralized setting. The result is a fair mechanism for training an internet-wide, decentralized and incentivized machine learning system, one which produces a continually hardening and expanding benchmark at the generalized intersection of the participants.