



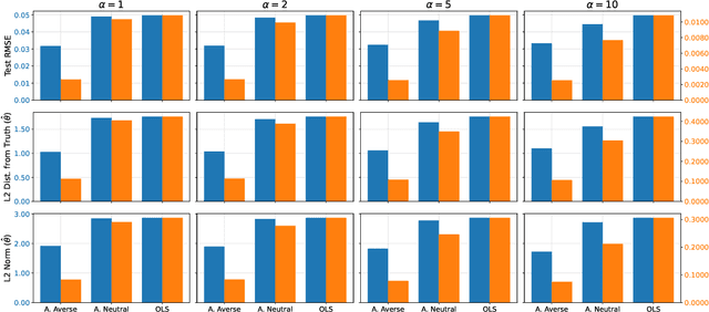
Training machine learning and statistical models often involves optimizing a data-driven risk criterion. The risk is usually computed with respect to the empirical data distribution, but this may result in poor and unstable out-of-sample performance due to distributional uncertainty. In the spirit of distributionally robust optimization, we propose a novel robust criterion by combining insights from Bayesian nonparametric (i.e., Dirichlet Process) theory and recent decision-theoretic models of smooth ambiguity-averse preferences. First, we highlight novel connections with standard regularized empirical risk minimization techniques, among which Ridge and LASSO regressions. Then, we theoretically demonstrate the existence of favorable finite-sample and asymptotic statistical guarantees on the performance of the robust optimization procedure. For practical implementation, we propose and study tractable approximations of the criterion based on well-known Dirichlet Process representations. We also show that the smoothness of the criterion naturally leads to standard gradient-based numerical optimization. Finally, we provide insights into the workings of our method by applying it to high-dimensional sparse linear regression and robust location parameter estimation tasks.