



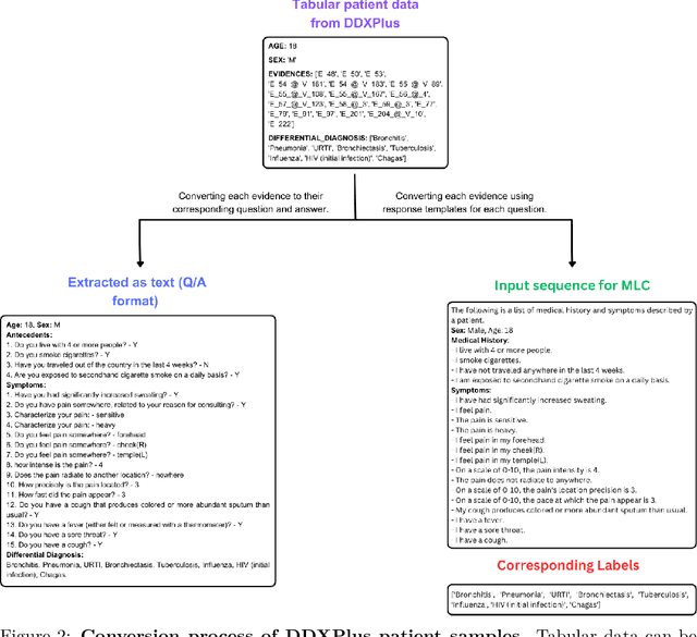
As the field of artificial intelligence progresses, assistive technologies are becoming more widely used across all industries. The healthcare industry is no different, with numerous studies being done to develop assistive tools for healthcare professionals. Automatic diagnostic systems are one such beneficial tool that can assist with a variety of tasks, including collecting patient information, analyzing test results, and diagnosing patients. However, the idea of developing systems that can provide a differential diagnosis has been largely overlooked in most of these research studies. In this study, we propose a transformer-based approach for providing differential diagnoses based on a patient's age, sex, medical history, and symptoms. We use the DDXPlus dataset, which provides differential diagnosis information for patients based on 49 disease types. Firstly, we propose a method to process the tabular patient data from the dataset and engineer them into patient reports to make them suitable for our research. In addition, we introduce two data modification modules to diversify the training data and consequently improve the robustness of the models. We approach the task as a multi-label classification problem and conduct extensive experiments using four transformer models. All the models displayed promising results by achieving over 97% F1 score on the held-out test set. Moreover, we design additional behavioral tests to get a broader understanding of the models. In particular, for one of our test cases, we prepared a custom test set of 100 samples with the assistance of a doctor. The results on the custom set showed that our proposed data modification modules improved the model's generalization capabilities. We hope our findings will provide future researchers with valuable insights and inspire them to develop reliable systems for automatic differential diagnosis.