



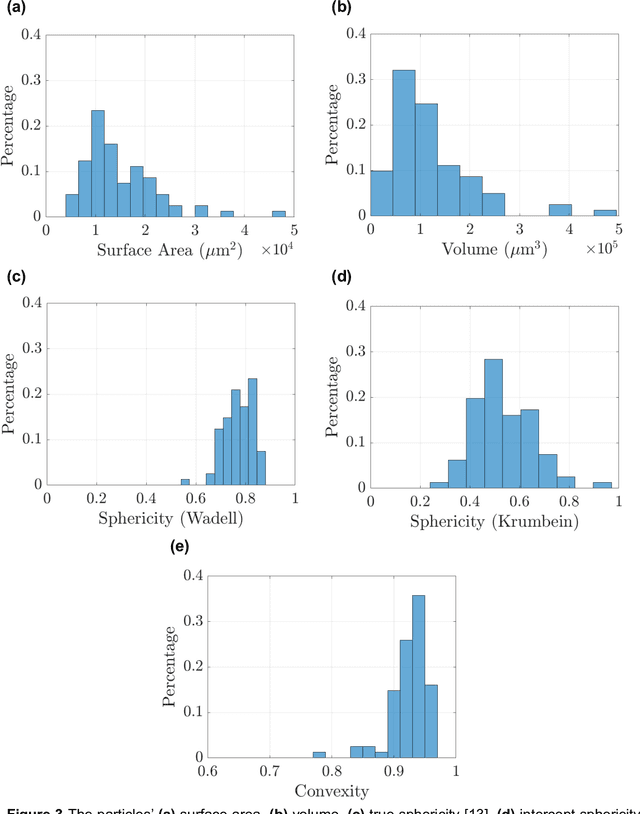
We introduce OCULAR, an innovative hardware and software solution for three-dimensional dynamic image analysis of fine particles. Current state-of-the art instruments for dynamic image analysis are largely limited to two-dimensional imaging. However, extensive literature has demonstrated that relying on a single two-dimensional projection for particle characterisation can lead to inaccuracies in many applications. Existing three-dimensional imaging technologies, such as computed tomography, laser scanning, and orthophotography, are limited to static objects. These methods are often not statistically representative and come with significant post-processing requirements, as well as the need for specialised imaging and computing resources. OCULAR addresses these challenges by providing a cost-effective solution for imaging continuous particle streams using a synchronised array of optical cameras. Particle shape characterisation is achieved through the reconstruction of their three-dimensional surfaces. This paper details the OCULAR methodology, evaluates its reproducibility, and compares its results against X-ray micro computed tomography, highlighting its potential for efficient and reliable particle analysis.