



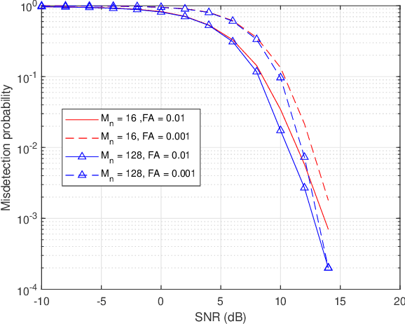
Advances in computing have resulted in an emerging need for multi-factor authentication using an amalgamation of cryptographic and physical keys. This letter presents a novel authentication approach using a combination of signal and antenna activation sequences, and most importantly, perturbed antenna array geometries. Possible degrees of freedom in perturbing antenna array geometries affected physical properties and their detection are presented. Channel estimation for the plurality of validly authorized arrays is discussed. Accuracy is investigated as a function of signal-to-noise ratio (SNR) and number of authorized arrays. It is observed that the proposed authentication scheme can provide 1% false authentication rate at 10 dB SNR, while it is achieving less than 1% missed authentication rates.