



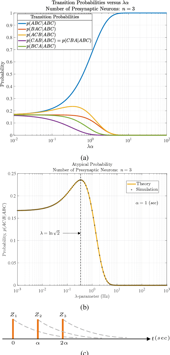
Rank-order coding, a form of temporal coding, has emerged as a promising scheme to explain the rapid ability of the mammalian brain. Owing to its speed as well as efficiency, rank-order coding is increasingly gaining interest in diverse research areas beyond neuroscience. However, much uncertainty still exists about the performance of rank-order coding under noise. Herein we show what information rates are fundamentally possible and what trade-offs are at stake. An unexpected finding in this paper is the emergence of a special class of errors that, in a regime, increase with less noise.