



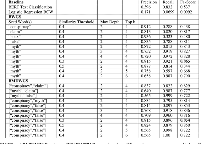
The COVID-19 pandemic has been accompanied by an `infodemic' -- of accurate and inaccurate health information across social media. Detecting misinformation amidst dynamically changing information landscape is challenging; identifying relevant keywords and posts is arduous due to the large amount of human effort required to inspect the content and sources of posts. We aim to reduce the resource cost of this process by introducing a weakly-supervised iterative graph-based approach to detect keywords, topics, and themes related to misinformation, with a focus on COVID-19. Our approach can successfully detect specific topics from general misinformation-related seed words in a few seed texts. Our approach utilizes the BERT-based Word Graph Search (BWGS) algorithm that builds on context-based neural network embeddings for retrieving misinformation-related posts. We utilize Latent Dirichlet Allocation (LDA) topic modeling for obtaining misinformation-related themes from the texts returned by BWGS. Furthermore, we propose the BERT-based Multi-directional Word Graph Search (BMDWGS) algorithm that utilizes greater starting context information for misinformation extraction. In addition to a qualitative analysis of our approach, our quantitative analyses show that BWGS and BMDWGS are effective in extracting misinformation-related content compared to common baselines in low data resource settings. Extracting such content is useful for uncovering prevalent misconceptions and concerns and for facilitating precision public health messaging campaigns to improve health behaviors.